or
owners manual Hyundai ix35
owners manual Hyundai ix35 - year of production: 2009, 2010, 2011, 2012, 2013, 2014, 2015 - Hyundai ix35 Tucson II 2 Handbuch DE
Document:
pdf (13.79 MB) 628 pages
all ratings: 0
average rating: 5
text version of content this owner's manual page
from owners manual to the vehicle Hyundai ix35, year of production 2009 - 2015:
EL(FL) GER 4d (audio~278).qxp 2/16/2015 4:15 PM Page 262
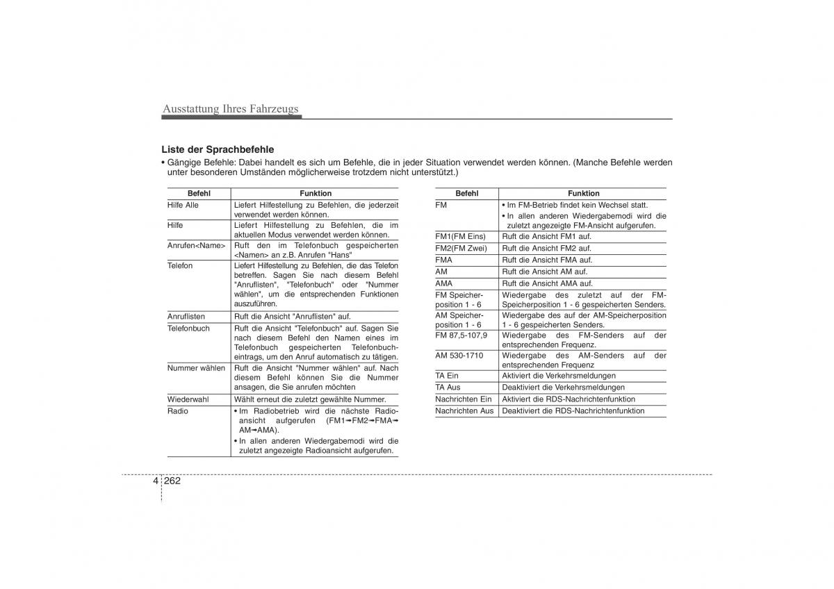
Ausstattung Ihres Fahrzeugs
Liste der Sprachbefehle
• Gängige Befehle: Dabei handelt es sich um Befehle, die in jeder Situation verwendet werden können. (Manche Befehle werden
unter besonderen Umständen möglicherweise trotzdem nicht unterstützt.)
Befehl Funktion Befehl Funktion
Hilfe AlleLiefert Hilfestellung zu Befehlen, die jederzeitFM• Im FM-Betrieb findet kein Wechsel statt.
verwendet werden können. • In allen anderen Wiedergabemodi wird die
Hilfe Liefert Hilfestellung zu Befehlen, die im
zuletzt angezeigte FM-Ansicht aufgerufen.
aktuellen Modus verwendet werden können.FM1(FM Eins)Ruft die Ansicht FM1 auf.
Anrufen Ruft den im Telefonbuch gespeicherten
an z.B.Anrufen "Hans" FM2(FM Zwei)Ruft die Ansicht FM2 auf.
Telefon Liefert Hilfestellung zu Befehlen, die das TelefonFMARuft die Ansicht FMA auf.
AM Ruft die Ansicht AM auf.
betreffen. Sagen Sie nach diesem Befehl
AMA Ruft die Ansicht AMA auf.
"Anruflisten", "Telefonbuch" oder "Nummer
wählen", um die entsprechenden Funktionen
FM Speicher-Wiedergabe des zuletzt auf der FM-
auszuführen. position 1 - 6Speicherposition 1 - 6 gespeicherten Senders.
AnruflistenRuft die Ansicht "Anruflisten" auf.AM Speicher-Wiedergabe des auf der AM-Speicherposition
TelefonbuchRuft die Ansicht "Telefonbuch" auf. Sagen Sie position 1 - 61 - 6 gespeicherten Senders.
FM 87,5-107,9Wiedergabe des FM-Senders auf der
nach diesem Befehl den Namen eines im
entsprechenden Frequenz.
Telefonbuch gespeicherten Telefonbuch-
eintrags, um den Anruf automatisch zu tätigen.AM 530-1710Wiedergabe des AM-Senders auf der
entsprechenden Frequenz
Nummer wählen Ruft die Ansicht "Nummer wählen" auf.Nach
TA Ein Aktiviert die Verkehrsmeldungen
diesem Befehl können Sie die Nummer
ansagen, die Sie anrufen möchtenTA Aus Deaktiviert die Verkehrsmeldungen
WiederwahlWählt erneut die zuletzt gewählte Nummer.Nachrichten EinAktiviert die RDS-Nachrichtenfunktion
Nachrichten AusDeaktiviert die RDS-Nachrichtenfunktion
Radio • Im Radiobetrieb wird die nächste Radio-
ansicht aufger➟FM2uf➟en (FM1FMA➟
AM➟AMA).
• In allen anderen Wiedergabemodi wird die
zuletzt angezeigte Radioansicht aufgerufen.
4 262

Download PDF
Click here to download a pdf file with an instruction manual for Hyundai ix35
year of production from: 2009

Do you prefer pdf format?
Find out how to download
Enter the code to download PDF file:
All pages in one PDF file!
How to get the code?
It's very simple! Just pay through a secure PayPal payment.
It will take no longer than a few minutes.
You will receive the code immediately after payment.
The code will be displayed on the screen and will be sent to you by e-mail address.
:
Hyundai ix35 Tucson II 2 Handbuch
pages 354 - 360
Hyundai ix35 Tucson II 2 Handbuch
page 357 / 628
this site is maintained by advertising - for view instructions, turn off ad blocking in your browser

Download PDF