or
owners manual Mazda 3
owners manual Mazda 3 - year of production: 2013 - Mazda 3 III manuale del proprietario IT
Document:
pdf (9.34 MB) 689 pages
all ratings: 0
average rating: 5
text version of content this owner's manual page
from owners manual to the vehicle Mazda 3, year of production 2013:
Funzioni dell’interno
Sistema audio
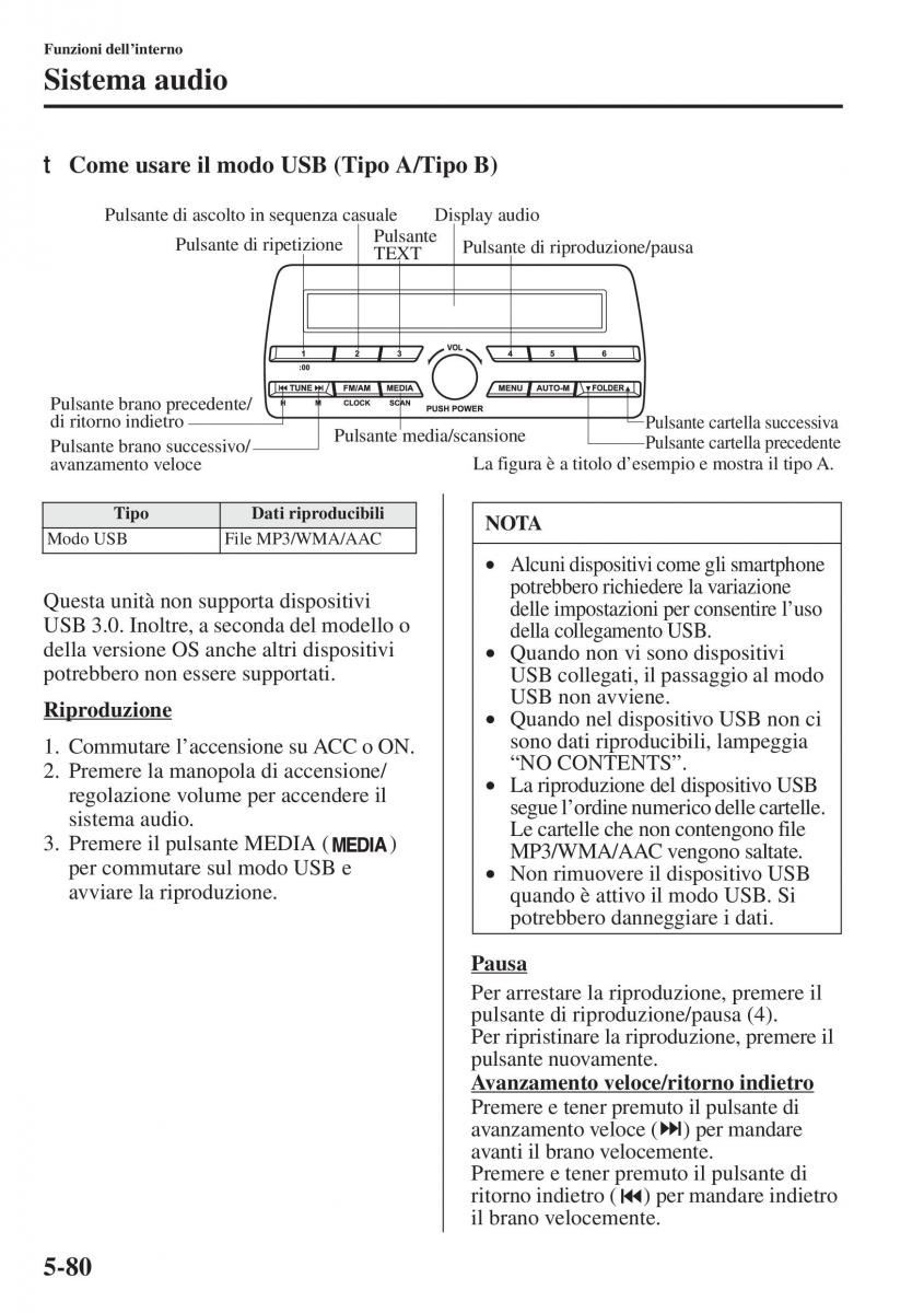
tCome usare il modo USB (Tipo A/Tipo B)
Pulsante di ascolto in sequenza casualeDisplay audio
Pulsante di ripetizionePulsante Pulsante di riproduzione/pausa
TEXT
Pulsante brano precedente/
di ritorno indietro Pulsante media/scansione Pulsante cartella successiva
Pulsante brano successivo/ Pulsante cartella precedente
avanzamento veloce La figura è a titolo d’esempio e mostra il tipo A.
Tipo Dati riproducibili NOTA
Modo USB File MP3/WMA/AAC
• Alcuni dispositivi come gli smartphone
Questa unità non supporta dispositivi potrebbero richiedere la variazione
USB 3.0. Inoltre, a seconda del modello o delle impostazioni per consentire l’uso
della collegamento USB.
della versione OS anche altri dispositivi • Quando non vi sono dispositivi
potrebbero non essere supportati. USB collegati, il passaggio al modo
Riproduzione USB non avviene.
• Quando nel dispositivo USB non ci
1. Commutare l’accensione su ACC o ON. sono dati riproducibili, lampeggia
2. Premere la manopola di accensione/ “NO CONTENTS”.
regolazione volume per accendere il • La riproduzione del dispositivo USB
sistema audio. segue l’ordine numerico delle cartelle.
3. Premere il pulsante MEDIA () Le cartelle che non contengono file
per commutare sul modo USB e MP3/WMA/AAC vengono saltate.
avviare la riproduzione. • Non rimuovere il dispositivo USB
quando è attivo il modo USB. Si
potrebbero danneggiare i dati.
Pausa
Per arrestare la riproduzione, premere il
pulsante di riproduzione/pausa (4).
Per ripristinare la riproduzione, premere il
pulsante nuovamente.
Avanzamento veloce/ritorno indietro
Premere e tener premuto il pulsante di
avanzamento veloce () per mandare
avanti il brano velocemente.
Premere e tener premuto il pulsante di
ritorno indietro () per mandare indietro
il brano velocemente.
5-80

Download PDF
Click here to download a pdf file with an instruction manual for Mazda 3
year of production from: 2013

Do you prefer pdf format?
Find out how to download
Enter the code to download PDF file:
All pages in one PDF file!
How to get the code?
It's very simple! Just pay through a secure PayPal payment.
It will take no longer than a few minutes.
You will receive the code immediately after payment.
The code will be displayed on the screen and will be sent to you by e-mail address.
:
Mazda 3 III manuale del proprietario
pages 411 - 417
Mazda 3 III manuale del proprietario
page 414 / 689
this site is maintained by advertising - for view instructions, turn off ad blocking in your browser

Download PDF